In today’s fast-paced world, it’s easy to overlook important tasks like estate planning. But fear not, we’ve got you covered with a Free Printable Estate Planning Template that will make the process a breeze.
Planning for the future is crucial to ensure that your loved ones are taken care of when you’re no longer around. With our template, you can organize your assets, designate beneficiaries, and outline your wishes in a clear and concise manner.
Free Printable Estate Planning Template
Free Printable Estate Planning Template
Our Free Printable Estate Planning Template includes sections for listing your assets such as property, investments, and personal belongings. You can also specify who will inherit each asset and any special instructions you may have.
Furthermore, the template allows you to appoint guardians for minor children, designate healthcare proxies, and outline your funeral preferences. By filling out this template, you can have peace of mind knowing that your wishes will be followed.
Don’t wait until it’s too late to start planning for the future. Download our Free Printable Estate Planning Template today and take the first step towards securing your legacy for generations to come.
Remember, estate planning is not just for the wealthy – it’s for anyone who wants to ensure that their final wishes are carried out. With our template, you can take control of your future and provide for your loved ones in the best way possible.
Free Financial Planning Templates Smartsheet
End Of Life Planner Printable Beneficiary Info Last Wishes Planner Estate Planning Binder Emergency Planner Binder Will Preparation
Simple Estate Planning Worksheet Printable Estate Inventory Worksheet Pdf Estate Inventory Form Estate Inventory Template Excel Sheet Etsy UK
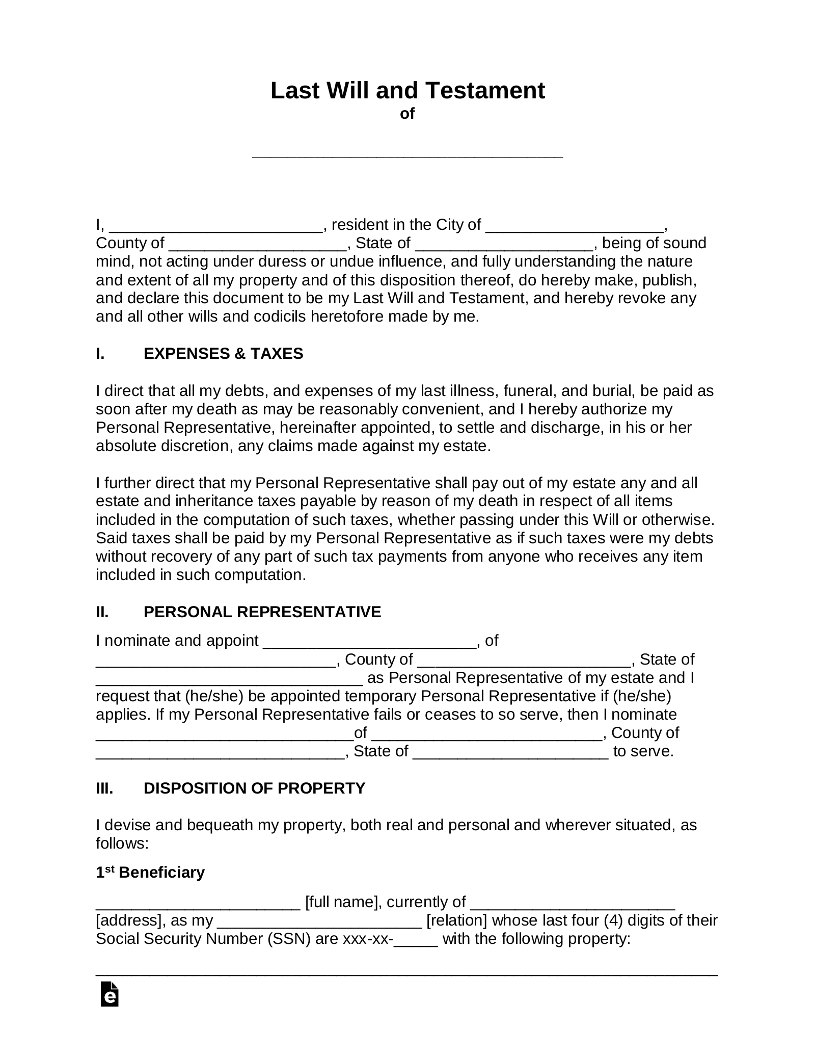
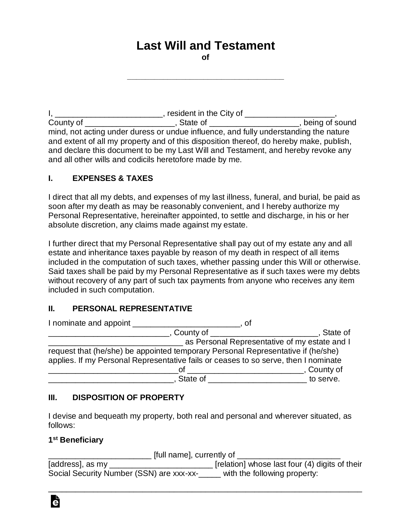
Free Last Will And Testament Will PDF Word EForms
End Of Life Planner Printable Beneficiary Info Last Wishes Planner Estate Planning Binder Emergency Planner Binder Will Preparation Etsy





