Having a 504 plan in place is essential for students with disabilities to receive the necessary accommodations in school. These individualized plans ensure equal access to education and support the student’s unique needs.
Creating a template for a 504 plan can streamline the process for educators, parents, and students. By having a standardized format, everyone involved can easily understand the accommodations and support outlined in the plan.
Template For 504 Plan
Template For 504 Plan
When developing a template for a 504 plan, it’s important to include key components such as the student’s diagnosis, specific accommodations needed, and goals for academic success. This information provides a clear roadmap for supporting the student effectively.
Additionally, the template should outline strategies for implementation, monitoring progress, and reviewing the plan regularly. This ensures that the 504 plan remains relevant and effective in meeting the student’s evolving needs throughout their academic journey.
Collaboration between educators, parents, and students is crucial in developing a comprehensive 504 plan template. By working together and valuing each other’s input, the plan can be tailored to meet the student’s unique needs and set them up for success in the classroom.
In conclusion, a well-designed template for a 504 plan is a valuable tool in supporting students with disabilities. By including essential components, fostering collaboration, and regularly reviewing the plan, educators can ensure that every student has equal access to education and the opportunity to thrive academically.
Guides U0026 Toolkits Shop IEP And 504 Guides U0026 Templates
Georgia United States Section 504 Plan Fill Out Sign Online And Download PDF Templateroller
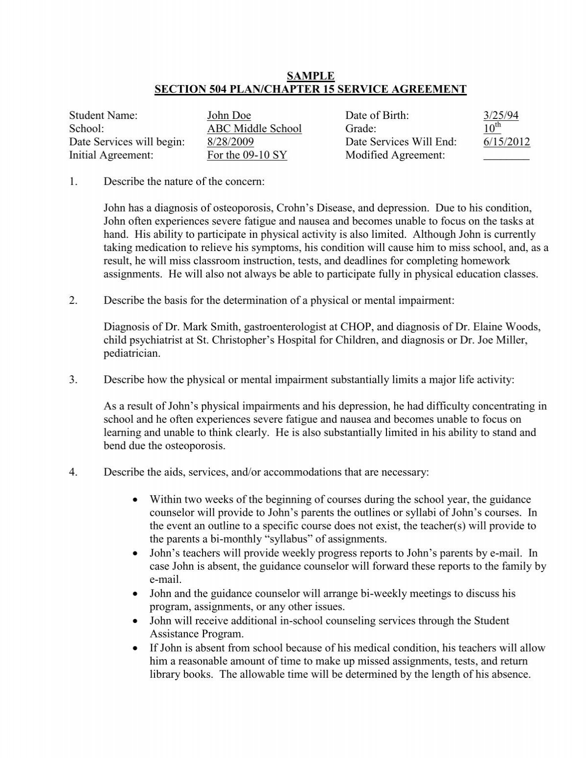
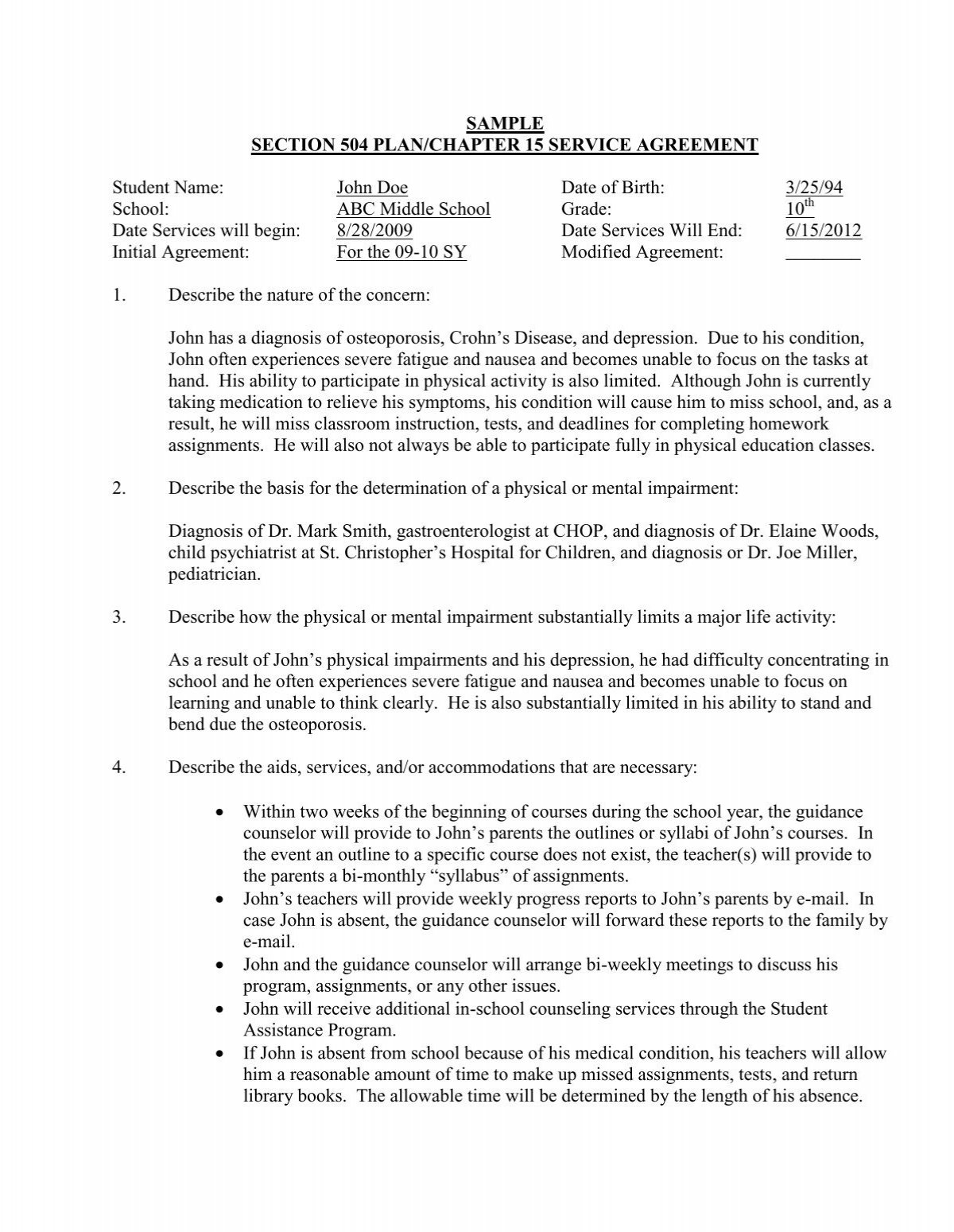
Sample Section 504 Plan Chapter 15 Service Agreement Achieva
504 Plan Accommodations For Oppositional Defiant Disorder Crystalroteconla1980 s Ownd
504 Plans In Schools Template With Accommodations SPED Behavior Intervention Caroline Koehler At Celavora Education





